Вопрос по алгебре:
Помогите решить Система линейных уравнений,способом сложения
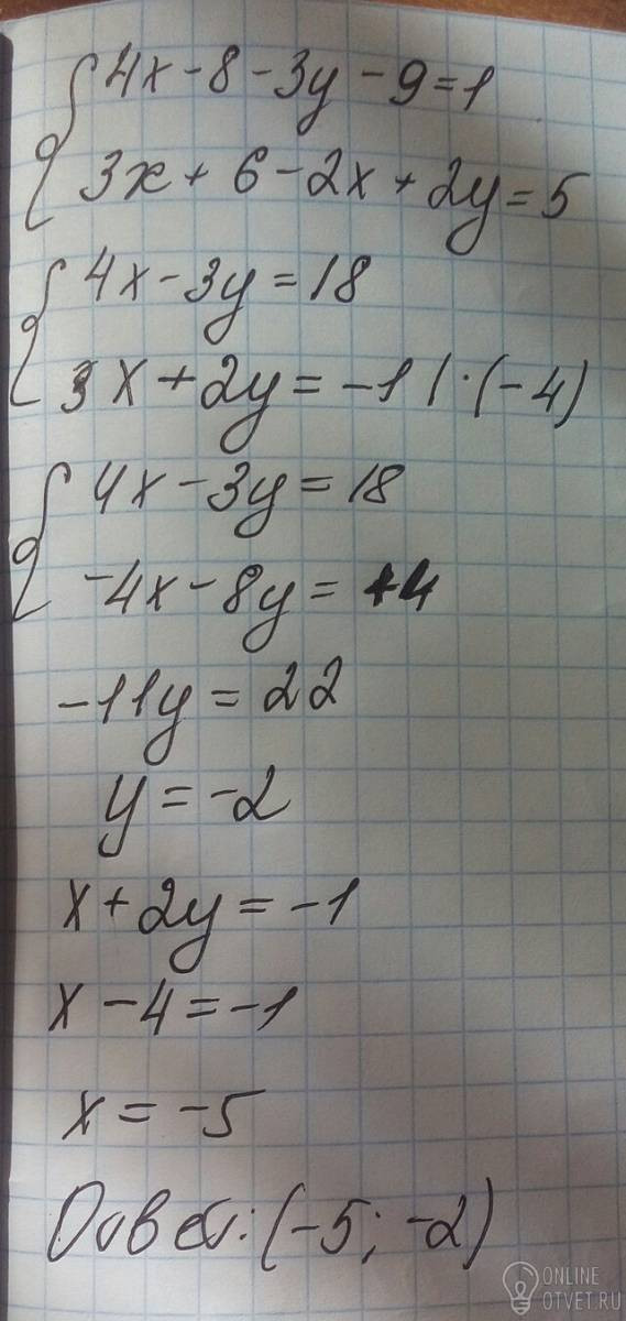
4х-8-3у-9=1,
3х+6-2х+2у=5;
- 26.08.2018 01:33
- Алгебра
- remove_red_eye 10757
- thumb_up 16
Ответы и объяснения 1
Знаете ответ? Поделитесь им!
Есть сомнения?
Не нашли подходящего ответа на вопрос или ответ отсутствует? Воспользуйтесь поиском по сайту, чтобы найти все ответы на похожие вопросы в разделе Алгебра.
Трудности с домашними заданиями? Не стесняйтесь попросить о помощи - смело задавайте вопросы!
Алгебра — раздел математики, который можно нестрого охарактеризовать как обобщение и расширение арифметики.