Пожаловаться
- 03.05.2018 14:41
- Алгебра
- remove_red_eye 7007
- thumb_up 17
Ответы и объяснения 1
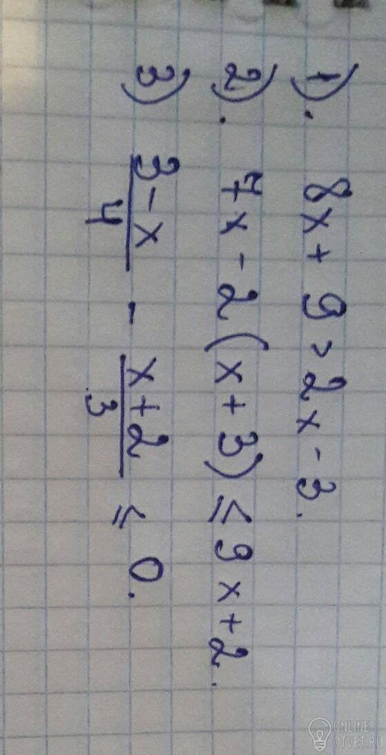
1) 8х + 9 > 2x - 3
8x - 2x > -3 - 9
6x > -12
x > -12/6
x > - 2
2) 7x - 2(x + 3) ≤ 9x + 2
7x - 2x -6 ≤ 9x + 2
-6 -2 ≤ 9x - 5x
-8 ≤ 4x
x ≥ -8/4
x ≥ -2
3) (3 - x)/4 - (x + 2)/3 ≤ 0
(3(3 - x) - 4(x + 2))/12 ≤ 0
(9 - 3x - 4x - 8)/12 ≤ 0
(1 - 7x)/12 ≤ 0
1 - 7x ≤ 0
7x ≥ 1
x ≥ 1/7
8x - 2x > -3 - 9
6x > -12
x > -12/6
x > - 2
2) 7x - 2(x + 3) ≤ 9x + 2
7x - 2x -6 ≤ 9x + 2
-6 -2 ≤ 9x - 5x
-8 ≤ 4x
x ≥ -8/4
x ≥ -2
3) (3 - x)/4 - (x + 2)/3 ≤ 0
(3(3 - x) - 4(x + 2))/12 ≤ 0
(9 - 3x - 4x - 8)/12 ≤ 0
(1 - 7x)/12 ≤ 0
1 - 7x ≤ 0
7x ≥ 1
x ≥ 1/7
Пожаловаться
- 04.05.2018 20:45
- thumb_up 20
Знаете ответ? Поделитесь им!
Есть сомнения?
Не нашли подходящего ответа на вопрос или ответ отсутствует? Воспользуйтесь поиском по сайту, чтобы найти все ответы на похожие вопросы в разделе Алгебра.
Трудности с домашними заданиями? Не стесняйтесь попросить о помощи - смело задавайте вопросы!
Алгебра — раздел математики, который можно нестрого охарактеризовать как обобщение и расширение арифметики.
Новые вопросы
Интересные вопросы