Вопрос по алгебре:
Решите уравнение
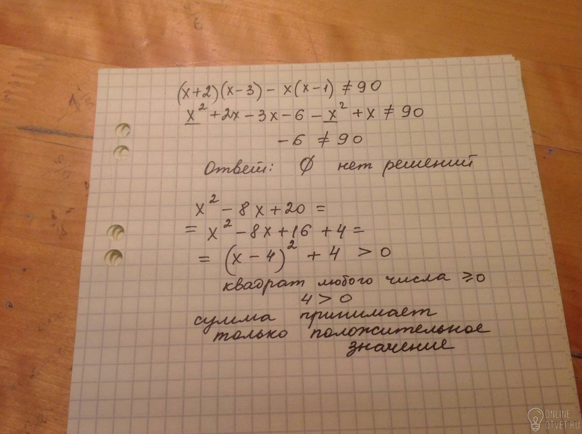
(x+2)(x-3)-x(x-1)=90
Докажите, что выражение x^2-8x+20 принимает только положительное значение.
- 04.02.2018 17:08
- Алгебра
- remove_red_eye 1363
- thumb_up 15
Ответы и объяснения 1
Знаете ответ? Поделитесь им!
Есть сомнения?
Не нашли подходящего ответа на вопрос или ответ отсутствует? Воспользуйтесь поиском по сайту, чтобы найти все ответы на похожие вопросы в разделе Алгебра.
Трудности с домашними заданиями? Не стесняйтесь попросить о помощи - смело задавайте вопросы!
Алгебра — раздел математики, который можно нестрого охарактеризовать как обобщение и расширение арифметики.