Пожаловаться
- 09.01.2018 05:23
- Алгебра
- remove_red_eye 18328
- thumb_up 45
Ответы и объяснения 1
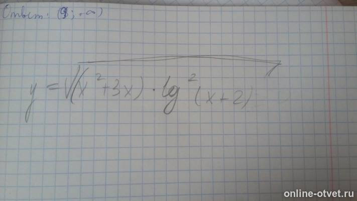
Аргумент логарифма может быть только положительным, поэтому:
x + 2 > 0 x > -2
Выражение под корнем не может быть отрицательным, а логарифм в квадрате в любом случае вернет положительное число, т.е. нужно чтобы (x^2 + 3x) было не отрицательным.
x*(x+3) = 0, x1 = 0; x2 = -3;
x∈(-∞;-3]U[0;+∞)
Найдем пересечение множеств, которое и будет областью определения: x ∈ [0;+∞) и отдельный случай, когда х = (-1). т.к. логарифм обращается в 0
x + 2 > 0 x > -2
Выражение под корнем не может быть отрицательным, а логарифм в квадрате в любом случае вернет положительное число, т.е. нужно чтобы (x^2 + 3x) было не отрицательным.
x*(x+3) = 0, x1 = 0; x2 = -3;
x∈(-∞;-3]U[0;+∞)
Найдем пересечение множеств, которое и будет областью определения: x ∈ [0;+∞) и отдельный случай, когда х = (-1). т.к. логарифм обращается в 0
Пожаловаться
- 01.01.1970 00:00
- thumb_up 10
Знаете ответ? Поделитесь им!
Есть сомнения?
Не нашли подходящего ответа на вопрос или ответ отсутствует? Воспользуйтесь поиском по сайту, чтобы найти все ответы на похожие вопросы в разделе Алгебра.
Трудности с домашними заданиями? Не стесняйтесь попросить о помощи - смело задавайте вопросы!
Алгебра — раздел математики, который можно нестрого охарактеризовать как обобщение и расширение арифметики.
Новые вопросы
Интересные вопросы