Вопрос по алгебре:
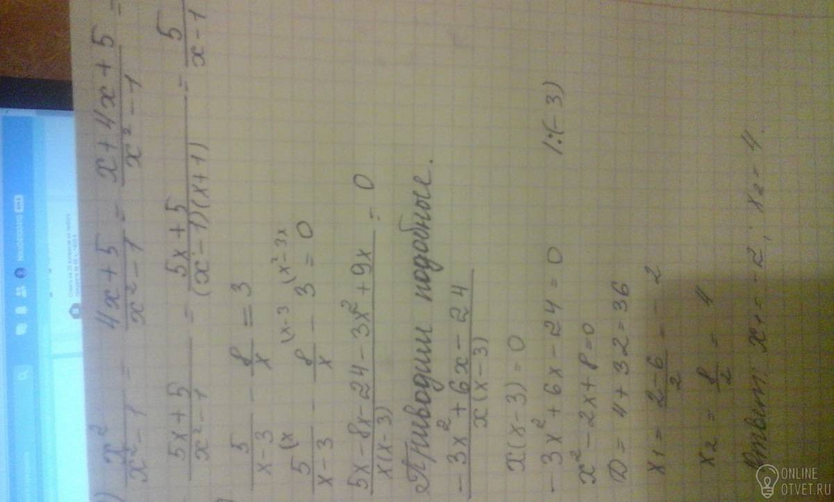
Алгебра. Помогите срочно! Номер 1. А ) х^2/х^2-1=4х+5/х^2-1
Б) 5/х-3 -8/х=3
/- это дробная черта.
- 04.07.2018 12:18
- Алгебра
- remove_red_eye 3804
- thumb_up 12
Ответы и объяснения 1
Знаете ответ? Поделитесь им!
Есть сомнения?
Не нашли подходящего ответа на вопрос или ответ отсутствует? Воспользуйтесь поиском по сайту, чтобы найти все ответы на похожие вопросы в разделе Алгебра.
Трудности с домашними заданиями? Не стесняйтесь попросить о помощи - смело задавайте вопросы!
Алгебра — раздел математики, который можно нестрого охарактеризовать как обобщение и расширение арифметики.