Вопрос по алгебре:
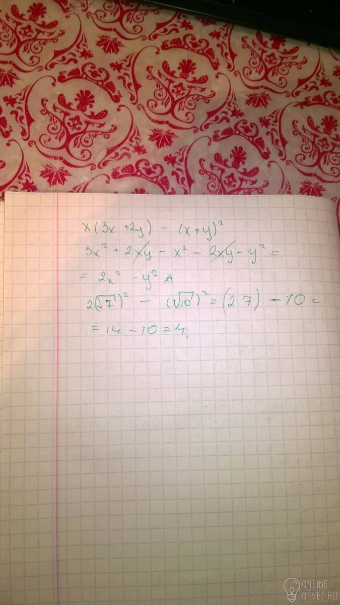
ХАЛЯВААААААААА !!!!! x(3x+2y)-(x+y)^2 при х = корень из 7,y=корень из 10
Пожаловаться
- 14.04.2018 06:49
- Алгебра
- remove_red_eye 20011
- thumb_up 9
Ответы и объяснения 1
Знаете ответ? Поделитесь им!
Есть сомнения?
Не нашли подходящего ответа на вопрос или ответ отсутствует? Воспользуйтесь поиском по сайту, чтобы найти все ответы на похожие вопросы в разделе Алгебра.
Трудности с домашними заданиями? Не стесняйтесь попросить о помощи - смело задавайте вопросы!
Алгебра — раздел математики, который можно нестрого охарактеризовать как обобщение и расширение арифметики.
Новые вопросы
Интересные вопросы