Вопрос по алгебре:
Разность арифметической прогрессии равна 1,5 найти а1. Помогите пожалуйста.
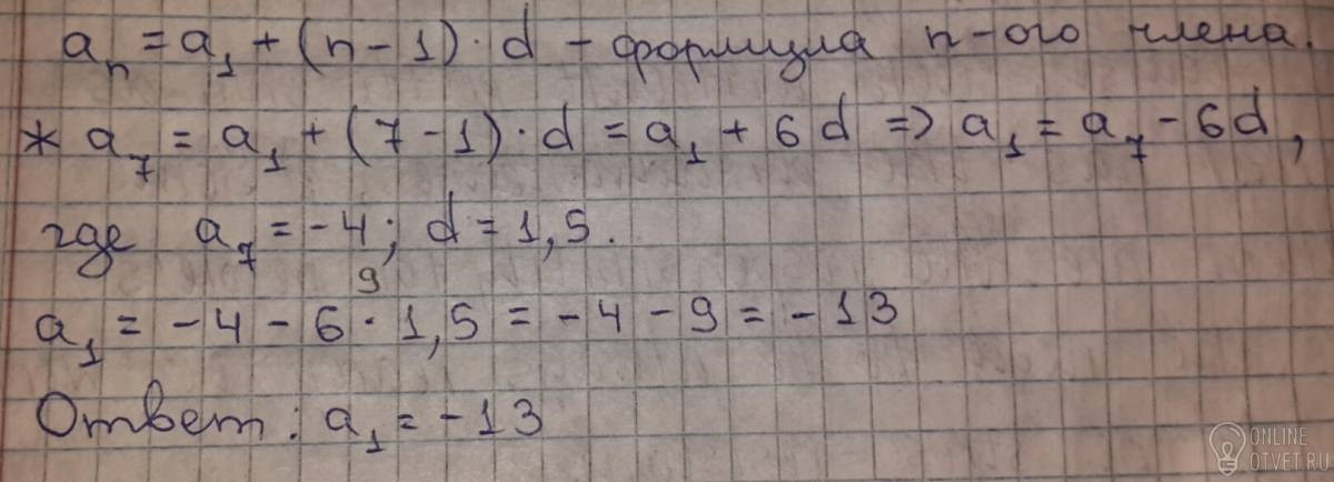
сам пример: а7= -4
- 08.07.2018 22:57
- Алгебра
- remove_red_eye 6058
- thumb_up 45
Ответы и объяснения 1
Знаете ответ? Поделитесь им!
Есть сомнения?
Не нашли подходящего ответа на вопрос или ответ отсутствует? Воспользуйтесь поиском по сайту, чтобы найти все ответы на похожие вопросы в разделе Алгебра.
Трудности с домашними заданиями? Не стесняйтесь попросить о помощи - смело задавайте вопросы!
Алгебра — раздел математики, который можно нестрого охарактеризовать как обобщение и расширение арифметики.