Пожаловаться
- 22.09.2018 00:44
- Алгебра
- remove_red_eye 790
- thumb_up 17
Ответы и объяснения 1
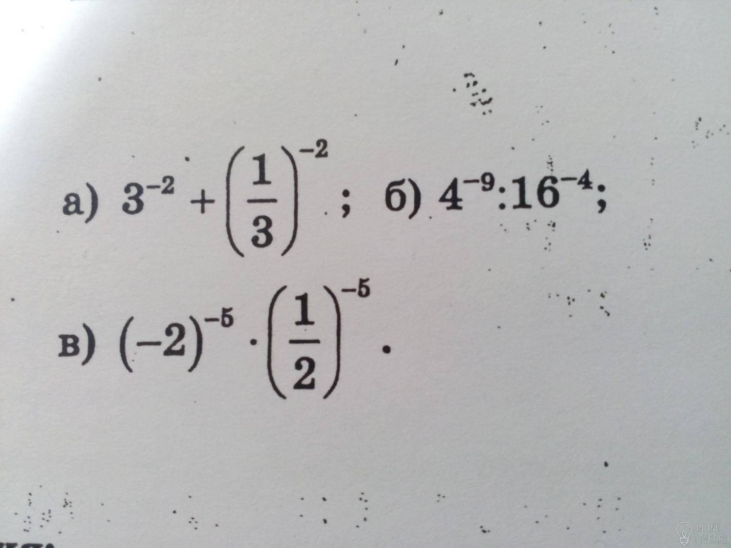
A) 1/9+9 = 9 + 1/9
b) 4^-9/16^-9 = 16^9/4^9 = 4^9*4^9/4^9 = 4^9 = 262144
c) 1/-2^5 * 2^5 = -1/32 * 32 = -1
b) 4^-9/16^-9 = 16^9/4^9 = 4^9*4^9/4^9 = 4^9 = 262144
c) 1/-2^5 * 2^5 = -1/32 * 32 = -1
Пожаловаться
- 23.09.2018 12:26
- thumb_up 44
Знаете ответ? Поделитесь им!
Есть сомнения?
Не нашли подходящего ответа на вопрос или ответ отсутствует? Воспользуйтесь поиском по сайту, чтобы найти все ответы на похожие вопросы в разделе Алгебра.
Трудности с домашними заданиями? Не стесняйтесь попросить о помощи - смело задавайте вопросы!
Алгебра — раздел математики, который можно нестрого охарактеризовать как обобщение и расширение арифметики.
Новые вопросы
Интересные вопросы