- 15.04.2018 12:02
- Алгебра
- remove_red_eye 9995
- thumb_up 35
Ответы и объяснения 1
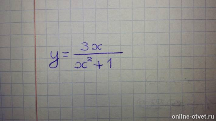
3х'*(х^2+1)-3х*(х^2+1)':х^2+1=3х^2*(х^2+1)-3х*2х:х^2+1=3х^4+3х^2-6х^2:х^2+1=3х^4-3х^2:х^2+1=0
это начало ..производная приравненная к 0..дальше необходимо решить уравнение..расставить точки на координатной прямой ..эти точки расставить в х min и х max....а у min и max найдете подставив значения х в первоначальное уравнение ..это и будут точки экстремулы
- 16.04.2018 21:48
- thumb_up 33
Знаете ответ? Поделитесь им!
Есть сомнения?
Не нашли подходящего ответа на вопрос или ответ отсутствует? Воспользуйтесь поиском по сайту, чтобы найти все ответы на похожие вопросы в разделе Алгебра.
Трудности с домашними заданиями? Не стесняйтесь попросить о помощи - смело задавайте вопросы!
Алгебра — раздел математики, который можно нестрого охарактеризовать как обобщение и расширение арифметики.