Вопрос по алгебре:
Не выполняя построения определите пересекаются ли графики функции.Если пересекаются то найдите координаты точек пересечения у=1/3х^2 и у=6х-15
- 20.04.2018 14:28
- Алгебра
- remove_red_eye 15420
- thumb_up 49
Ответы и объяснения 1
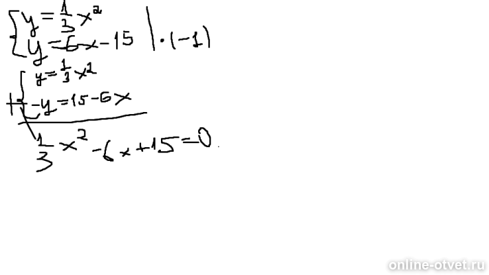
Составляем систему уравнений.
y = 1/3x^2
y = 6x - 15
Смотри во вложении
Дальше получается обычное квадратное уравнение
решаем его
1/3x^2-6x +15 =0
D = 36 - 4*15*1/3 = 36 - 20 = 16
x1 = (6 + 4)/ 2/3 = 15
x2 = 2 / 2/3 = 3
Если х1 = 15, то у1 = 75
Если х2 = 3, тоу2 = 3
Получается, что графики пересекаются в 2 точках (15,75) и (3,3)
- 21.04.2018 18:22
- thumb_up 46
Знаете ответ? Поделитесь им!
Есть сомнения?
Не нашли подходящего ответа на вопрос или ответ отсутствует? Воспользуйтесь поиском по сайту, чтобы найти все ответы на похожие вопросы в разделе Алгебра.
Трудности с домашними заданиями? Не стесняйтесь попросить о помощи - смело задавайте вопросы!
Алгебра — раздел математики, который можно нестрого охарактеризовать как обобщение и расширение арифметики.