Пожаловаться
- 18.07.2018 20:51
- Алгебра
- remove_red_eye 6160
- thumb_up 22
Ответы и объяснения 1
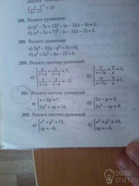
201 ( a )
x+2y=7
2y^2 + xy = 14
x=7-2y
2y^2 + y(7-2y)=14
x=7-2y
2y^2 + 7y - 2y^2=14
x=3
y=2
Пожаловаться
- 19.07.2018 23:39
- thumb_up 6
Знаете ответ? Поделитесь им!
Есть сомнения?
Не нашли подходящего ответа на вопрос или ответ отсутствует? Воспользуйтесь поиском по сайту, чтобы найти все ответы на похожие вопросы в разделе Алгебра.
Трудности с домашними заданиями? Не стесняйтесь попросить о помощи - смело задавайте вопросы!
Алгебра — раздел математики, который можно нестрого охарактеризовать как обобщение и расширение арифметики.
Новые вопросы
Интересные вопросы