- 11.06.2018 15:40
- Алгебра
- remove_red_eye 5300
- thumb_up 16
Ответы и объяснения 1
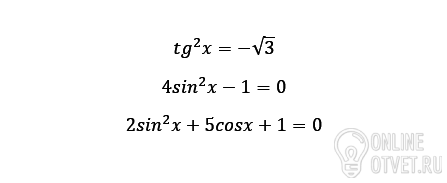
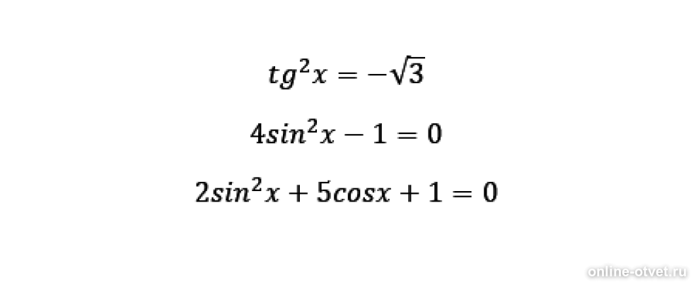
Tg²x=-√3 нет решений
4sin²x=1
sin²x=1/4
sinx=1/2
x=π/6 +2πn
x=5π/6+2πn
sinx=-1/2
x=-π/6+2πn
x=7π/6+2πn
2-2cos²x+5cosx+1=0
2cos²x-5cosx-3=0
D=25+4*3*2=49
cosx=(5+7)/4=3 не подходит
cox=(5-7)/4=-1/2
x=2π/3+2πn
x=4π/3+2πn
- 12.06.2018 17:53
- thumb_up 32
Знаете ответ? Поделитесь им!
Есть сомнения?
Не нашли подходящего ответа на вопрос или ответ отсутствует? Воспользуйтесь поиском по сайту, чтобы найти все ответы на похожие вопросы в разделе Алгебра.
Трудности с домашними заданиями? Не стесняйтесь попросить о помощи - смело задавайте вопросы!
Алгебра — раздел математики, который можно нестрого охарактеризовать как обобщение и расширение арифметики.