Вопрос по алгебре:
Выполните умножение:
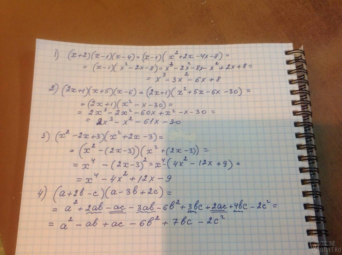
1)(х+2)(х-1)(х-4)
2)(2х+1)(х+5)(х-6)
3)(х(во второй степени) -2х +3)(х(во второй степени)+2х-3)
4) (а+2в-с)(а-3в+2с)
- 25.12.2017 04:41
- Алгебра
- remove_red_eye 16158
- thumb_up 31
Ответы и объяснения 1
Знаете ответ? Поделитесь им!
Есть сомнения?
Не нашли подходящего ответа на вопрос или ответ отсутствует? Воспользуйтесь поиском по сайту, чтобы найти все ответы на похожие вопросы в разделе Алгебра.
Трудности с домашними заданиями? Не стесняйтесь попросить о помощи - смело задавайте вопросы!
Алгебра — раздел математики, который можно нестрого охарактеризовать как обобщение и расширение арифметики.