- 15.04.2018 17:29
- Алгебра
- remove_red_eye 2561
- thumb_up 13
Ответы и объяснения 1
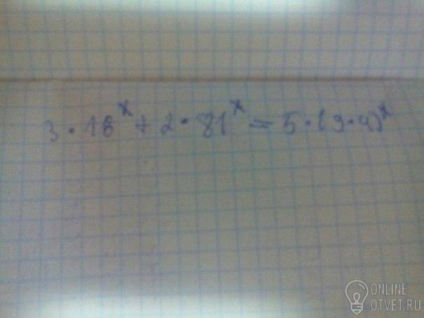
3*16^x-5*(9*4)^x+2*81^x=0/81^x
3*(4/9)^2x-5*(4/9)^x+2=0
(4/9)^x=a
3a²-5a+2=0
D=25-24=1
a1=(5-1)/6=2/3⇒(4/9)^x=2/3⇒x=1/2
a2=(5+1)/6=1⇒(4/9)^x=1⇒x=0
- 16.04.2018 11:02
- thumb_up 35
Знаете ответ? Поделитесь им!
Есть сомнения?
Не нашли подходящего ответа на вопрос или ответ отсутствует? Воспользуйтесь поиском по сайту, чтобы найти все ответы на похожие вопросы в разделе Алгебра.
Трудности с домашними заданиями? Не стесняйтесь попросить о помощи - смело задавайте вопросы!
Алгебра — раздел математики, который можно нестрого охарактеризовать как обобщение и расширение арифметики.