Вопрос по алгебре:
При каких значениях b:
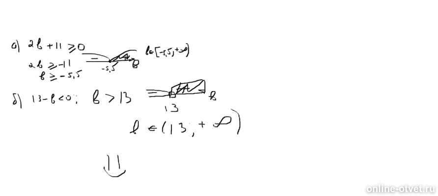
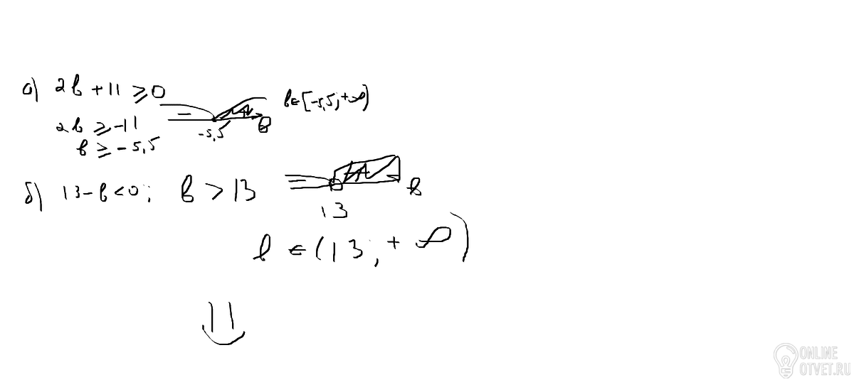
а) двучлен 2b+11 принимает положительные значения
б) двучлен 13-b принимает отрицательные значения
- 27.07.2018 19:44
- Алгебра
- remove_red_eye 16411
- thumb_up 50
Ответы и объяснения 1
Знаете ответ? Поделитесь им!
Есть сомнения?
Не нашли подходящего ответа на вопрос или ответ отсутствует? Воспользуйтесь поиском по сайту, чтобы найти все ответы на похожие вопросы в разделе Алгебра.
Трудности с домашними заданиями? Не стесняйтесь попросить о помощи - смело задавайте вопросы!
Алгебра — раздел математики, который можно нестрого охарактеризовать как обобщение и расширение арифметики.