- 17.05.2018 01:52
- Алгебра
- remove_red_eye 872
- thumb_up 9
Ответы и объяснения 1
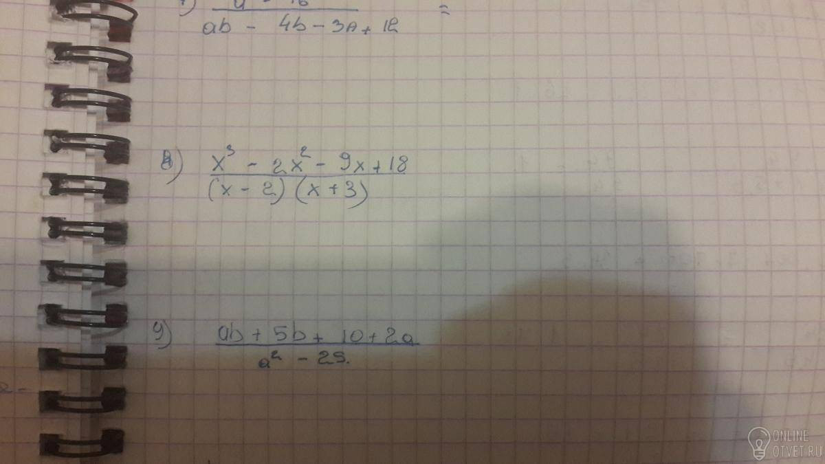
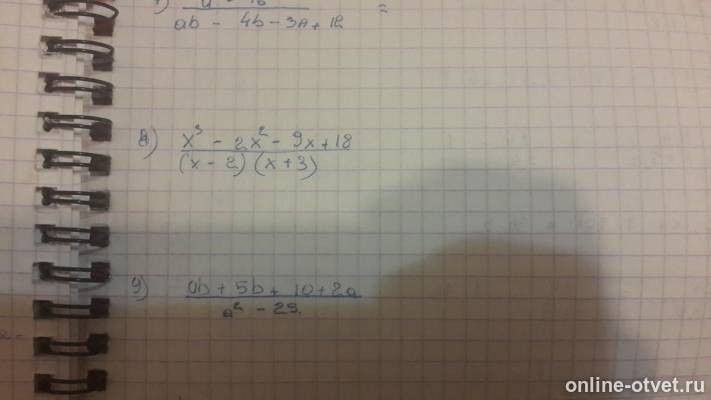
8)=х²(х-2)-9(х-2) / (х-2)(х+3) = (х²-9)(х-2) / (х-2)(х+3) = (х-3)(х+3) / (х+3) =х-3
9)=b(a+5)+2(a+5) / (a-5)(a+5) = (b+2)(a+5) / (a-5)(a+5) = b+2 / a-5
- 18.05.2018 04:19
- thumb_up 22
Знаете ответ? Поделитесь им!
Есть сомнения?
Не нашли подходящего ответа на вопрос или ответ отсутствует? Воспользуйтесь поиском по сайту, чтобы найти все ответы на похожие вопросы в разделе Алгебра.
Трудности с домашними заданиями? Не стесняйтесь попросить о помощи - смело задавайте вопросы!
Алгебра — раздел математики, который можно нестрого охарактеризовать как обобщение и расширение арифметики.