Вопрос по алгебре:
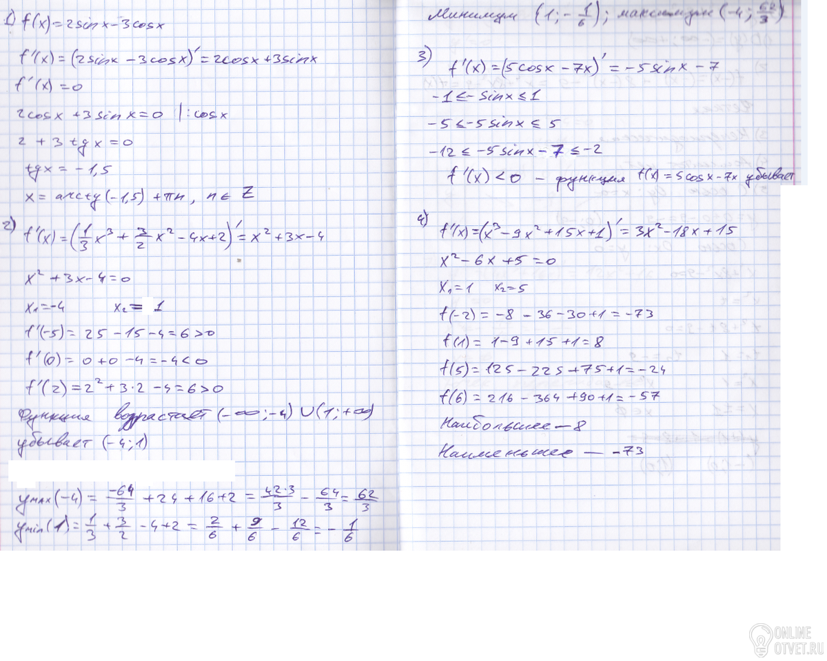
1. Найдите стационарные точки функции f(x)=2sinx-3cosx
2. Докажите, что функция f(x)=5cosx-7x убывает на всей числовой прямой
3. Найдите наибольшее и наименьшее значение функции f(x)=x³-9x²+15x+1 на отрезке [-2;6]
4. Число 300 разбейте на три слагаемых так, чтобы два из них относились как 2:3, а произведение трех слагаемых было наибольшим.
- 04.03.2018 03:10
- Алгебра
- remove_red_eye 6715
- thumb_up 27
Ответы и объяснения 1
Знаете ответ? Поделитесь им!
Есть сомнения?
Не нашли подходящего ответа на вопрос или ответ отсутствует? Воспользуйтесь поиском по сайту, чтобы найти все ответы на похожие вопросы в разделе Алгебра.
Трудности с домашними заданиями? Не стесняйтесь попросить о помощи - смело задавайте вопросы!
Алгебра — раздел математики, который можно нестрого охарактеризовать как обобщение и расширение арифметики.