Вопрос по алгебре:
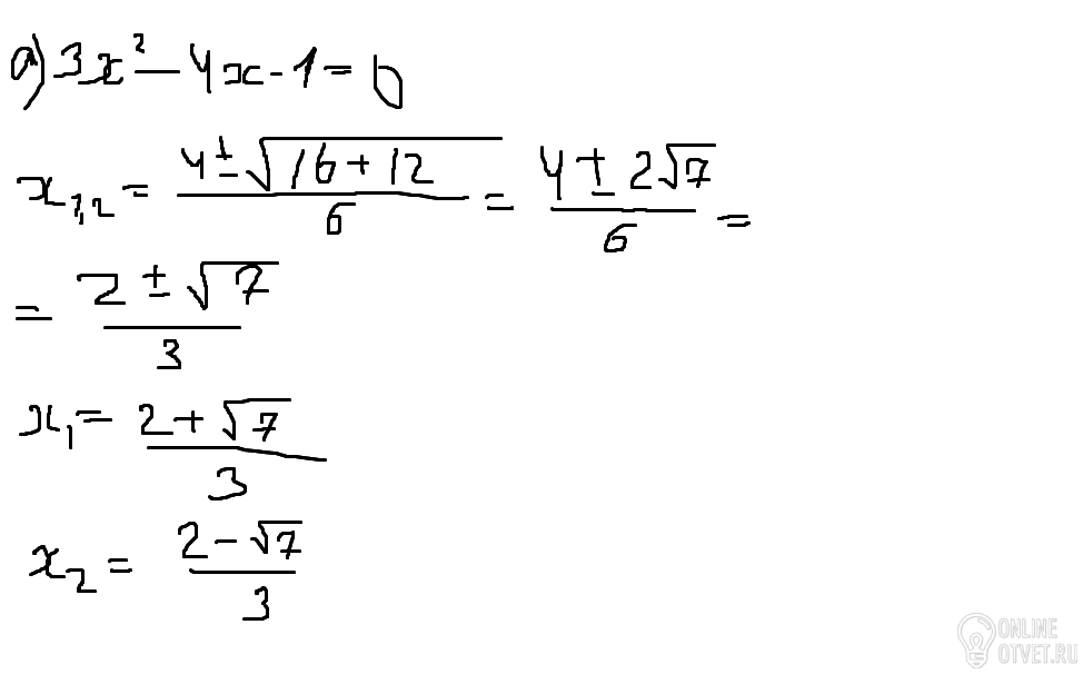
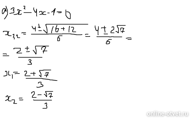
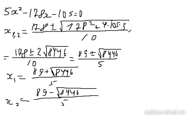
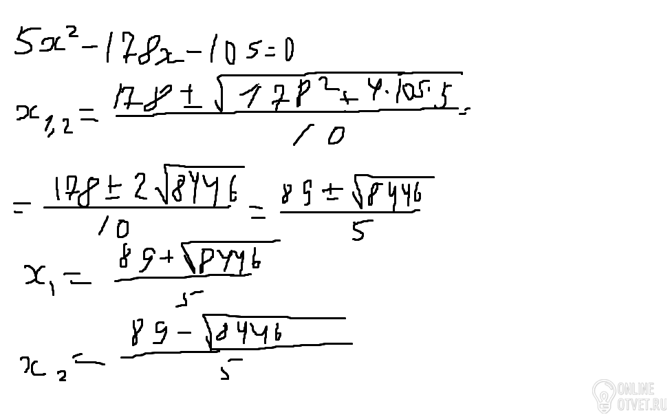
Помогите решить квадратное уравнение с помощью теоремы Виета или с помощью Дискриминанта а) 3х^2-4x-1=0 б) 5x^2-178x-105=0
- 03.03.2018 23:21
- Алгебра
- remove_red_eye 3457
- thumb_up 15
Ответы и объяснения 1
Знаете ответ? Поделитесь им!
Есть сомнения?
Не нашли подходящего ответа на вопрос или ответ отсутствует? Воспользуйтесь поиском по сайту, чтобы найти все ответы на похожие вопросы в разделе Алгебра.
Трудности с домашними заданиями? Не стесняйтесь попросить о помощи - смело задавайте вопросы!
Алгебра — раздел математики, который можно нестрого охарактеризовать как обобщение и расширение арифметики.