Вопрос по алгебре:
Решите биквадратное ур-те, использую введение новой переменной
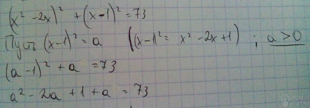
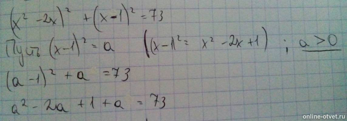
(x^2-2x)^2+(x-1)^2=73
- 17.08.2018 20:10
- Алгебра
- remove_red_eye 14053
- thumb_up 33
Ответы и объяснения 1
Знаете ответ? Поделитесь им!
Есть сомнения?
Не нашли подходящего ответа на вопрос или ответ отсутствует? Воспользуйтесь поиском по сайту, чтобы найти все ответы на похожие вопросы в разделе Алгебра.
Трудности с домашними заданиями? Не стесняйтесь попросить о помощи - смело задавайте вопросы!
Алгебра — раздел математики, который можно нестрого охарактеризовать как обобщение и расширение арифметики.