- 18.05.2018 19:52
- Алгебра
- remove_red_eye 16187
- thumb_up 20
Ответы и объяснения 2
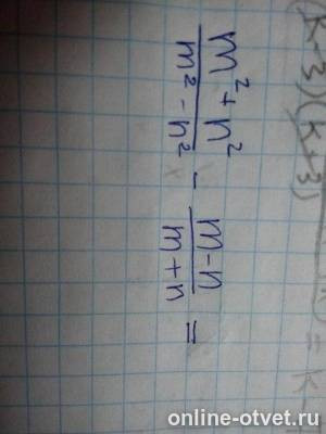
(m² + n²) \ (m-n)(m+n) - (m-n)\(m+n) = (m²+n² - (m-n)² ) \ (m-n)(m+n)=
(m²+n² - m²+2mn-n²) \ (m²-n²)=
2mn \ ( m²-n²)
- 19.05.2018 06:59
- thumb_up 41
Знаете ответ? Поделитесь им!
Есть сомнения?
Не нашли подходящего ответа на вопрос или ответ отсутствует? Воспользуйтесь поиском по сайту, чтобы найти все ответы на похожие вопросы в разделе Алгебра.
Трудности с домашними заданиями? Не стесняйтесь попросить о помощи - смело задавайте вопросы!
Алгебра — раздел математики, который можно нестрого охарактеризовать как обобщение и расширение арифметики.