Вопрос по алгебре:
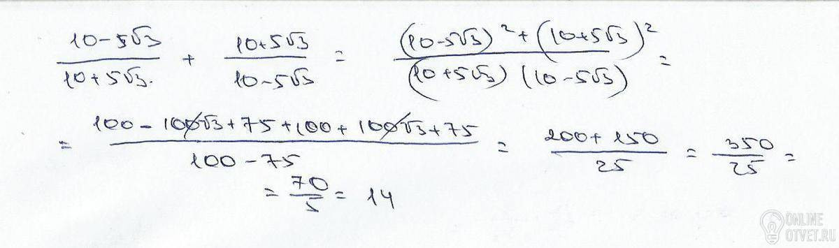
10-5корень из 3 делимое на 10+5корень из 3
+
10+5корень из 3 делимое на 10-5корень из 3
Заранее спасибо
- 26.02.2018 02:39
- Алгебра
- remove_red_eye 2354
- thumb_up 14
Ответы и объяснения 1
Знаете ответ? Поделитесь им!
Есть сомнения?
Не нашли подходящего ответа на вопрос или ответ отсутствует? Воспользуйтесь поиском по сайту, чтобы найти все ответы на похожие вопросы в разделе Алгебра.
Трудности с домашними заданиями? Не стесняйтесь попросить о помощи - смело задавайте вопросы!
Алгебра — раздел математики, который можно нестрого охарактеризовать как обобщение и расширение арифметики.