Вопрос по алгебре:
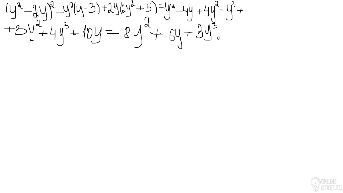
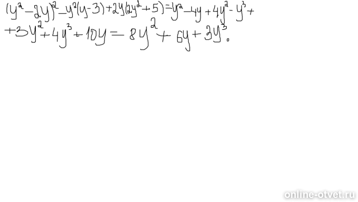
Помогите пожалуйста! (у^2-2у)^2-у^2(у-3)+2у(2у^2+5) Не надо просто ответ, обязательно с решением!)
Заранее спасибо)
- 16.03.2018 00:40
- Алгебра
- remove_red_eye 4394
- thumb_up 5
Ответы и объяснения 1
Знаете ответ? Поделитесь им!
Есть сомнения?
Не нашли подходящего ответа на вопрос или ответ отсутствует? Воспользуйтесь поиском по сайту, чтобы найти все ответы на похожие вопросы в разделе Алгебра.
Трудности с домашними заданиями? Не стесняйтесь попросить о помощи - смело задавайте вопросы!
Алгебра — раздел математики, который можно нестрого охарактеризовать как обобщение и расширение арифметики.