- 12.09.2018 13:04
- Алгебра
- remove_red_eye 3769
- thumb_up 22
Ответы и объяснения 1
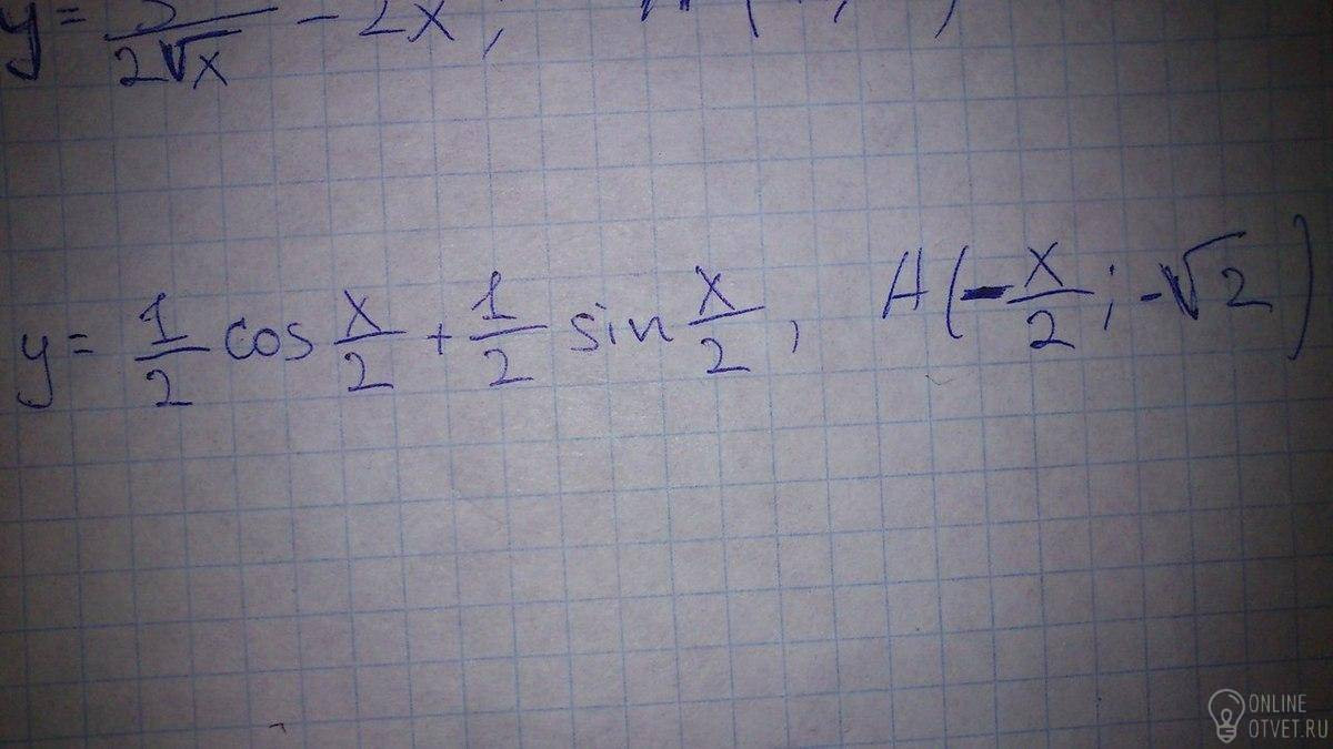
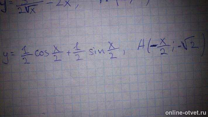
У'(х)=1/2cosx/2-1/2sinx/2+C =»1/2cos1-1/2sin1+C=kopen uz 2 отсюда С выражай и считай чему равно С
- 13.09.2018 19:08
- thumb_up 34
Знаете ответ? Поделитесь им!
Есть сомнения?
Не нашли подходящего ответа на вопрос или ответ отсутствует? Воспользуйтесь поиском по сайту, чтобы найти все ответы на похожие вопросы в разделе Алгебра.
Трудности с домашними заданиями? Не стесняйтесь попросить о помощи - смело задавайте вопросы!
Алгебра — раздел математики, который можно нестрого охарактеризовать как обобщение и расширение арифметики.