Вопрос по алгебре:
1.раскройте скобки.
(c-х)^2
(-c-4)^2
(6c+7)^2
(5c-9х)^2
(-c^2+3х^4)^2
2. замените пропуски, отмеченные символом * так, чтобы выполнялось равенство (*-*)^2=25p^4-80p^2q+*
3. используя формулы сокращенного умножения для (a+b)^2 и (a-b)^2 вычислите:
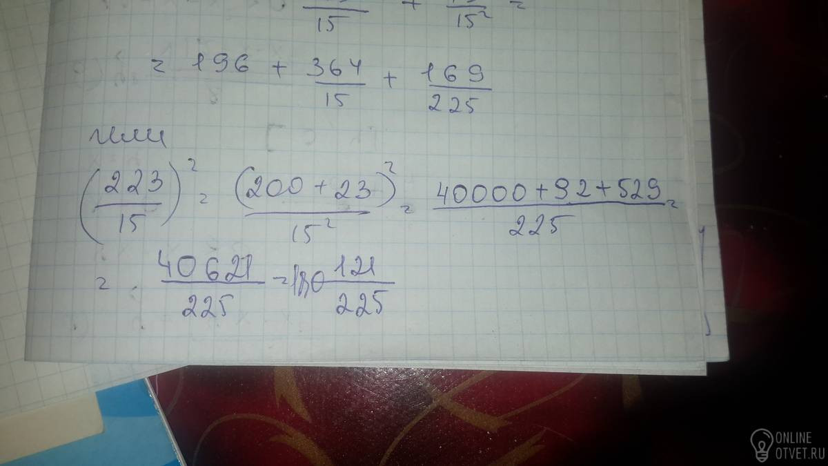
89^2 и (-14целых 13/15)^2
- 10.07.2018 22:05
- Алгебра
- remove_red_eye 4934
- thumb_up 24
Ответы и объяснения 1
Знаете ответ? Поделитесь им!
Есть сомнения?
Не нашли подходящего ответа на вопрос или ответ отсутствует? Воспользуйтесь поиском по сайту, чтобы найти все ответы на похожие вопросы в разделе Алгебра.
Трудности с домашними заданиями? Не стесняйтесь попросить о помощи - смело задавайте вопросы!
Алгебра — раздел математики, который можно нестрого охарактеризовать как обобщение и расширение арифметики.