- 26.05.2018 00:10
- Алгебра
- remove_red_eye 7012
- thumb_up 46
Ответы и объяснения 1
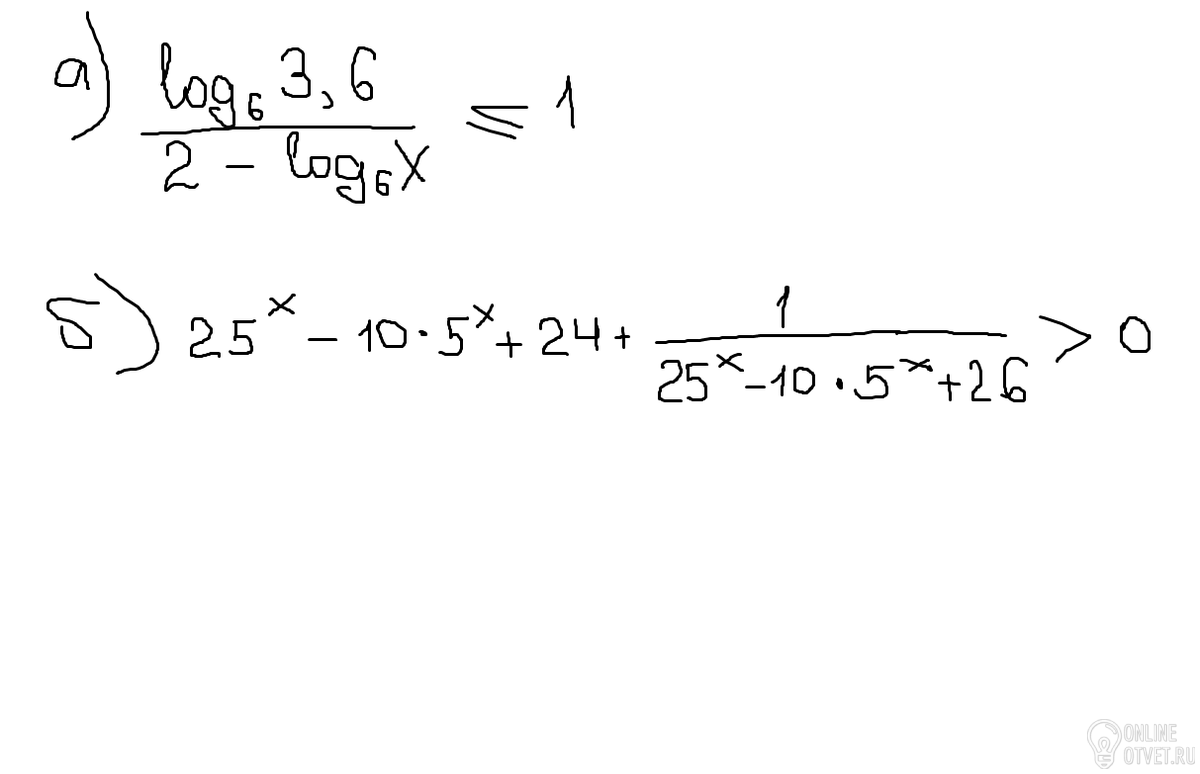
2-log6X≠0
log6X≠2
x≠36
than
log 6 3.6 ≤2-log6X
log6 3.6 + log6 X ≤2
log6 3.6·X≤log6 36
выполним операцию потенциирования
3.6X≤36
x≤10
Answer X∈ (- бесконечность ; 10]
- 26.05.2018 00:34
- thumb_up 2
Знаете ответ? Поделитесь им!
Есть сомнения?
Не нашли подходящего ответа на вопрос или ответ отсутствует? Воспользуйтесь поиском по сайту, чтобы найти все ответы на похожие вопросы в разделе Алгебра.
Трудности с домашними заданиями? Не стесняйтесь попросить о помощи - смело задавайте вопросы!
Алгебра — раздел математики, который можно нестрого охарактеризовать как обобщение и расширение арифметики.