Вопрос по алгебре:
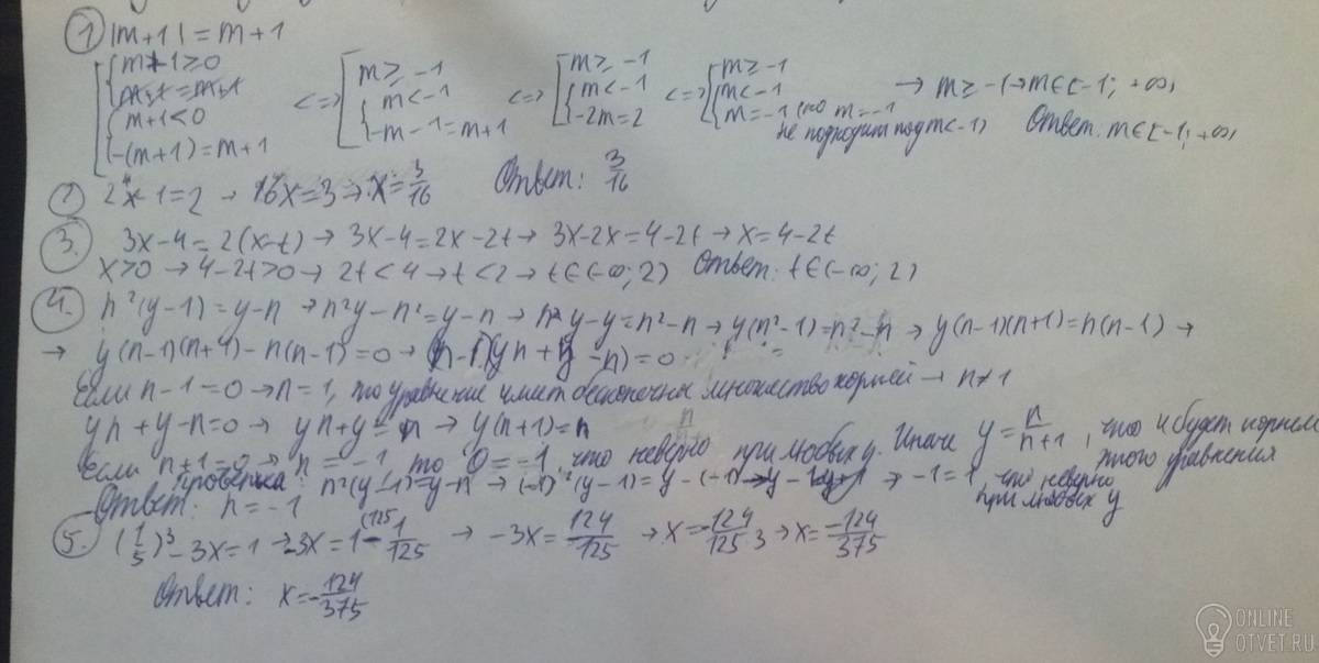
1.При каких значениях m верно равенство: |m+1|=m+1?
2.Решите уравнение 2^4x-1=2
3.При каких значениях t уравнение 3x-4=2(x-t) имеет положительный корень?
4.При каких значениях n уравнение n^2(y-1)=y-n не имеет корней?
5.Решите уравнение (1/5)^3-3x=1?
- 08.07.2018 08:08
- Алгебра
- remove_red_eye 13539
- thumb_up 38
Ответы и объяснения 1
Знаете ответ? Поделитесь им!
Есть сомнения?
Не нашли подходящего ответа на вопрос или ответ отсутствует? Воспользуйтесь поиском по сайту, чтобы найти все ответы на похожие вопросы в разделе Алгебра.
Трудности с домашними заданиями? Не стесняйтесь попросить о помощи - смело задавайте вопросы!
Алгебра — раздел математики, который можно нестрого охарактеризовать как обобщение и расширение арифметики.