- 15.09.2018 19:23
- Алгебра
- remove_red_eye 9496
- thumb_up 71
Ответы и объяснения 1
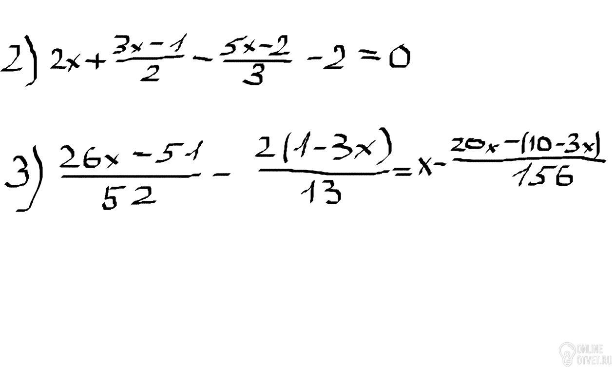
3х-1 5х-2
2х+ -------------- - ------------- -2 =0 /*6
2 3
12х+3*(3х-1)-2*(5х-2)-12=0
12х+9х-3-10х+4-12=0
12х+9х-10х=0+3-4+12
11х=11
х=11:11
х=1
26х-51 2*(1-3х) 20х-(10-3х)
----------- - ------------------ = х- ----------------------------
52 13 156
26х-51 2-6х 17х-10
--------------- - ------------------- = х - -------------------------------- /*156
52 13 156
3*(26х-51) - 12*(2-6х)=х-17х-10
78х-153-24+72х= -16х-10
78х+72х+16х= -10+153+24
166х=167
х=167:166
х=1 1/166
- 16.09.2018 05:43
- thumb_up 47
Знаете ответ? Поделитесь им!
Есть сомнения?
Не нашли подходящего ответа на вопрос или ответ отсутствует? Воспользуйтесь поиском по сайту, чтобы найти все ответы на похожие вопросы в разделе Алгебра.
Трудности с домашними заданиями? Не стесняйтесь попросить о помощи - смело задавайте вопросы!
Алгебра — раздел математики, который можно нестрого охарактеризовать как обобщение и расширение арифметики.