Вопрос по алгебре:
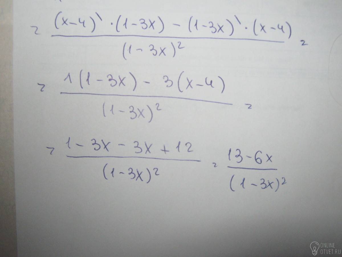
Решите пример пожалуйста, подробней распишите f(x)=x-4/1-3x Найдите производную
Пожаловаться
- 01.09.2018 13:33
- Алгебра
- remove_red_eye 19376
- thumb_up 101
Ответы и объяснения 1
Знаете ответ? Поделитесь им!
Есть сомнения?
Не нашли подходящего ответа на вопрос или ответ отсутствует? Воспользуйтесь поиском по сайту, чтобы найти все ответы на похожие вопросы в разделе Алгебра.
Трудности с домашними заданиями? Не стесняйтесь попросить о помощи - смело задавайте вопросы!
Алгебра — раздел математики, который можно нестрого охарактеризовать как обобщение и расширение арифметики.
Новые вопросы
Интересные вопросы