Вопрос по алгебре:
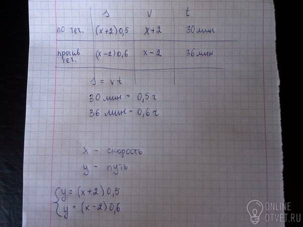
Катер проплыл от одной пристани до другой против течения реки за 36 мин. На обратный путь он затратил на 6 мин меньше. Найдите Собственную скорость катера и расстояние между пристанями, если скорость течения реки 2 км/ч. ?Cоставьте только систему уравнений решать ее не надо.
- 02.08.2018 05:41
- Алгебра
- remove_red_eye 11149
- thumb_up 39
Ответы и объяснения 1
Знаете ответ? Поделитесь им!
Есть сомнения?
Не нашли подходящего ответа на вопрос или ответ отсутствует? Воспользуйтесь поиском по сайту, чтобы найти все ответы на похожие вопросы в разделе Алгебра.
Трудности с домашними заданиями? Не стесняйтесь попросить о помощи - смело задавайте вопросы!
Алгебра — раздел математики, который можно нестрого охарактеризовать как обобщение и расширение арифметики.