Вопрос по алгебре:
Помогите пожалуйста сократить дробь:
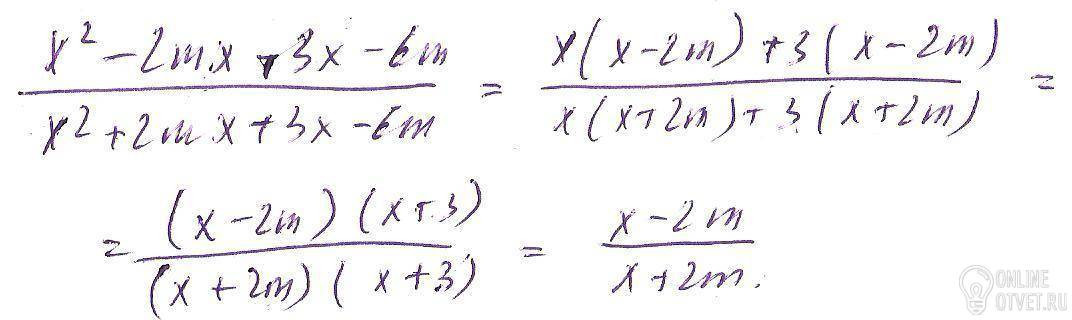
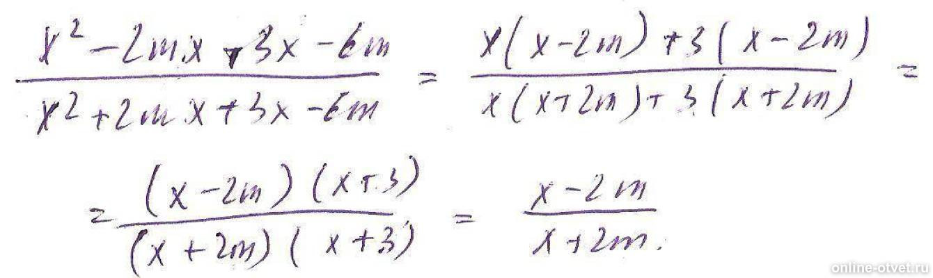
x^2-2mx+3x-6m
----------------------
x^2+2mx+3x+6m
- 01.01.2018 14:07
- Алгебра
- remove_red_eye 14632
- thumb_up 23
Ответы и объяснения 1
Знаете ответ? Поделитесь им!
Есть сомнения?
Не нашли подходящего ответа на вопрос или ответ отсутствует? Воспользуйтесь поиском по сайту, чтобы найти все ответы на похожие вопросы в разделе Алгебра.
Трудности с домашними заданиями? Не стесняйтесь попросить о помощи - смело задавайте вопросы!
Алгебра — раздел математики, который можно нестрого охарактеризовать как обобщение и расширение арифметики.