- 08.03.2018 10:18
- Алгебра
- remove_red_eye 18258
- thumb_up 11
Ответы и объяснения 1
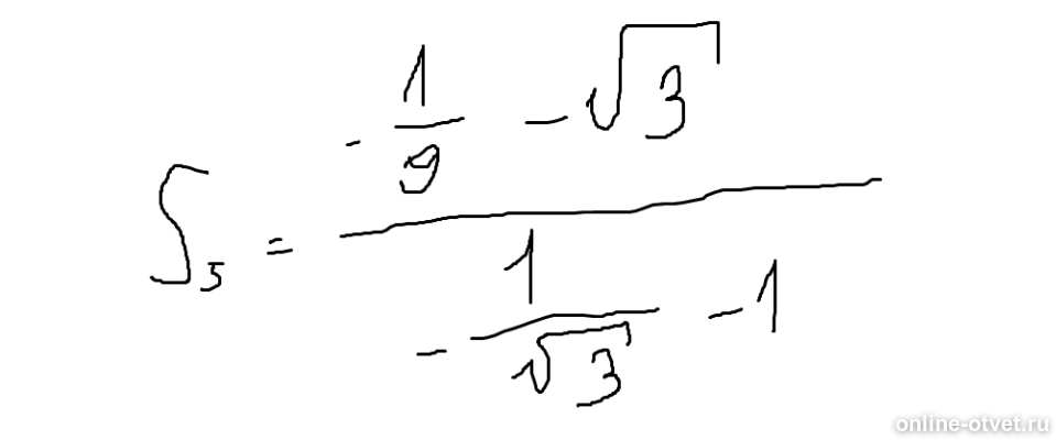
отдельно числитель:
-1/9 - V3 = -(1 + 9V3) /9
отдельно знаменатель:
-1/ V3 - 1 = -(1 + V3) / V3
-(1 + 9V3) /9 : -(1 + V3) / V3 = (1 + 9V3) /9 * V3 / (1 + V3) = (V3 + 9*3) / (9*(1+V3)) =
можно избавиться от иррациональности в знаменателе---умножив на (1-V3)
= (V3 + 27)*(1-V3) / (9*(1+V3)*(1-V3)) = (V3-3+27-27V3) / (9*(1-3)) = (24-26V3) / (-18) =
(13V3-12)/9
- 09.03.2018 21:52
- thumb_up 26
Знаете ответ? Поделитесь им!
Есть сомнения?
Не нашли подходящего ответа на вопрос или ответ отсутствует? Воспользуйтесь поиском по сайту, чтобы найти все ответы на похожие вопросы в разделе Алгебра.
Трудности с домашними заданиями? Не стесняйтесь попросить о помощи - смело задавайте вопросы!
Алгебра — раздел математики, который можно нестрого охарактеризовать как обобщение и расширение арифметики.