- 14.03.2018 15:20
- Алгебра
- remove_red_eye 12359
- thumb_up 24
Ответы и объяснения 1
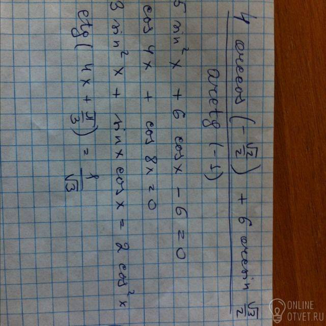
1) 5(1-cos^2x)+6cosx-6=0 5-5cos^2x+6cosx-6=0 5cos^2x-6cosx+1=0 Пусть cosx=t 5t^2-6t+1=0 D=36-20=16 t1= 1 t2= 0,4 X1= 2Pi*n X2= arccos0,4 + 2Pi*n 3) разделим всё на cos^2x 3tgx + tgx-2=0 Пусть tgx=t 3t^2+ t-2=0 D=1+24=25 t1= 4/6=2/3 t2= -1 X1= arctg 2/3 + Pi*n X2= -Pi/4 + Pi*n
- 15.03.2018 06:17
- thumb_up 39
Знаете ответ? Поделитесь им!
Есть сомнения?
Не нашли подходящего ответа на вопрос или ответ отсутствует? Воспользуйтесь поиском по сайту, чтобы найти все ответы на похожие вопросы в разделе Алгебра.
Трудности с домашними заданиями? Не стесняйтесь попросить о помощи - смело задавайте вопросы!
Алгебра — раздел математики, который можно нестрого охарактеризовать как обобщение и расширение арифметики.