- 13.02.2018 06:45
- Алгебра
- remove_red_eye 3301
- thumb_up 36
Ответы и объяснения 2
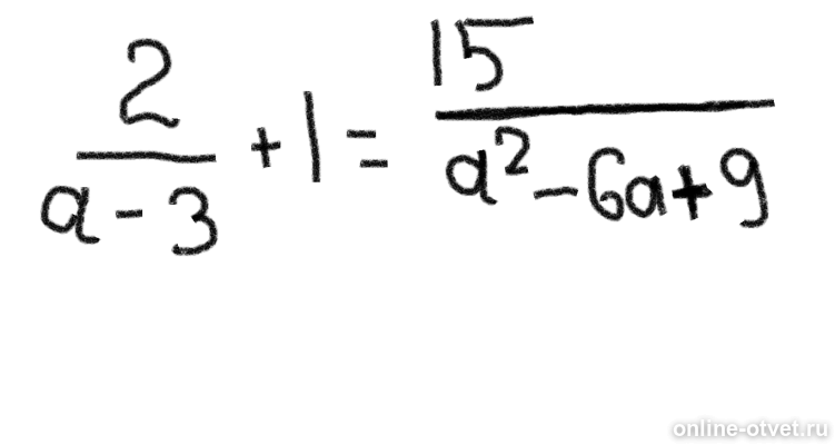
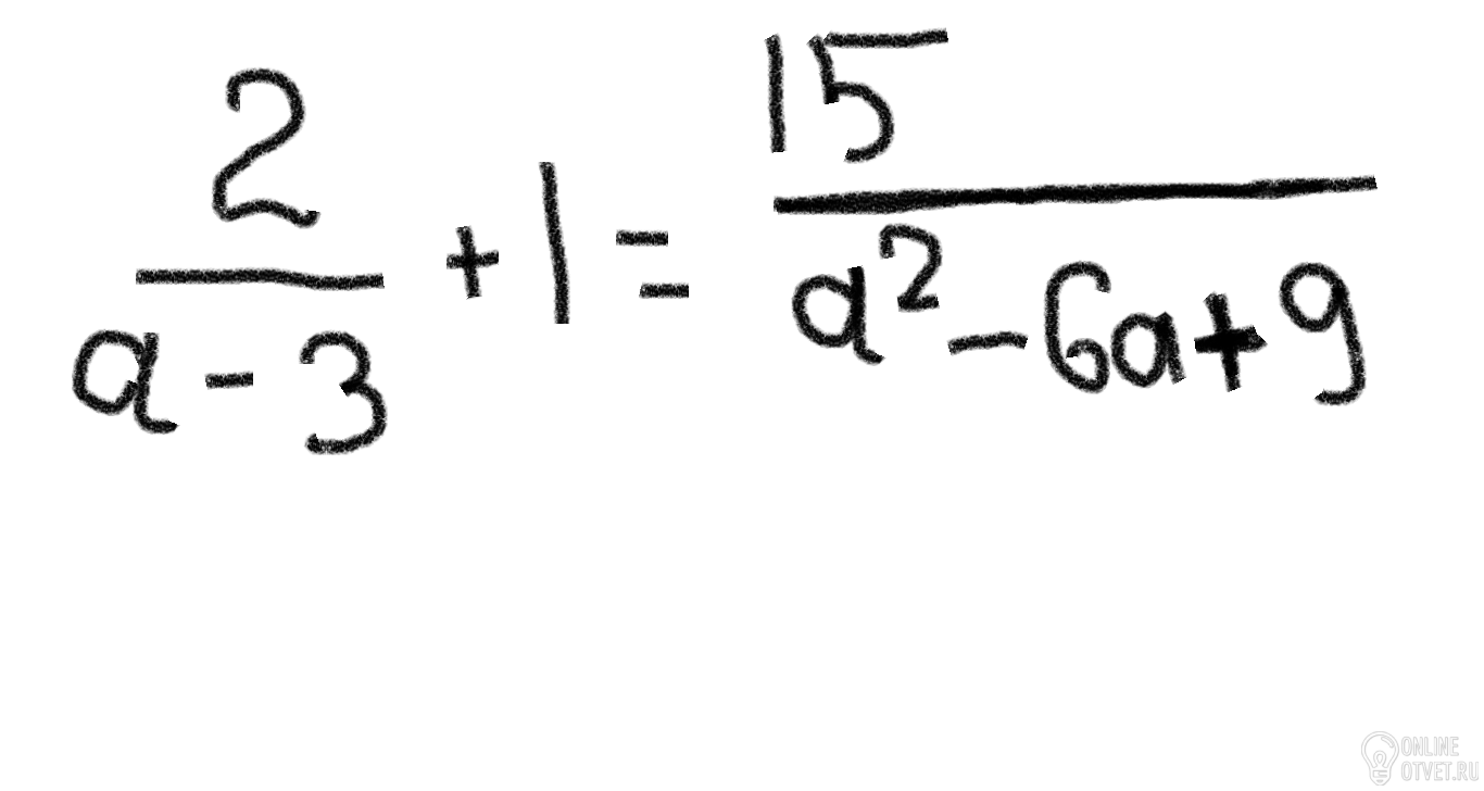
По формуле квадрата разности сверни знаменатель правой дроби (а-3)^2 получится, потом переноси все влево и приводи к общему знаменателю. Далее умножай обе части на знаменатель. И решай квадратное уравнение. Корни его 6 и -2
- 14.02.2018 00:29
- thumb_up 18
2 +1= 15
а-3 а^2 - 6а +9
2 + 1 = 15
а-3 ( а - 3 )^2
15 - 2 = 1
(a-3)^2 a-3
21 - 2a = 1
(a-3)^2
21 - 2a =(a-3)^2
- 14.02.2018 22:40
- thumb_up 10
Знаете ответ? Поделитесь им!
Есть сомнения?
Не нашли подходящего ответа на вопрос или ответ отсутствует? Воспользуйтесь поиском по сайту, чтобы найти все ответы на похожие вопросы в разделе Алгебра.
Трудности с домашними заданиями? Не стесняйтесь попросить о помощи - смело задавайте вопросы!
Алгебра — раздел математики, который можно нестрого охарактеризовать как обобщение и расширение арифметики.