Вопрос по алгебре:
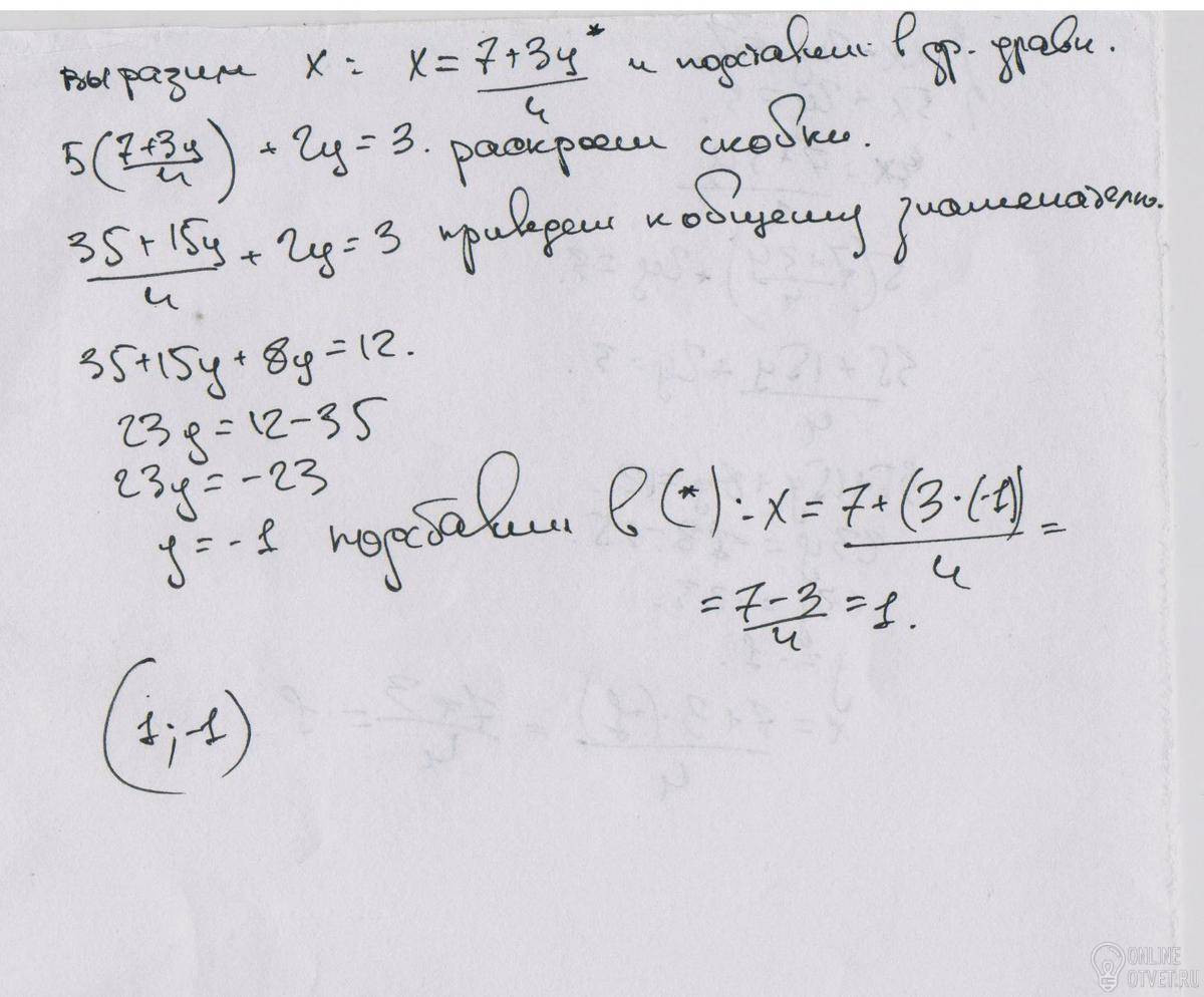
Решите систему уравнений 4х-3у=7 и 5х+2у=3
Решение пожалуйста подробное.
Пожаловаться
- 05.04.2018 07:10
- Алгебра
- remove_red_eye 17826
- thumb_up 48
Ответы и объяснения 1
Знаете ответ? Поделитесь им!
Есть сомнения?
Не нашли подходящего ответа на вопрос или ответ отсутствует? Воспользуйтесь поиском по сайту, чтобы найти все ответы на похожие вопросы в разделе Алгебра.
Трудности с домашними заданиями? Не стесняйтесь попросить о помощи - смело задавайте вопросы!
Алгебра — раздел математики, который можно нестрого охарактеризовать как обобщение и расширение арифметики.
Новые вопросы
Интересные вопросы