Пожаловаться
- 26.08.2016 11:48
- Геометрия
- remove_red_eye 15492
- thumb_up 13
Ответы и объяснения 1
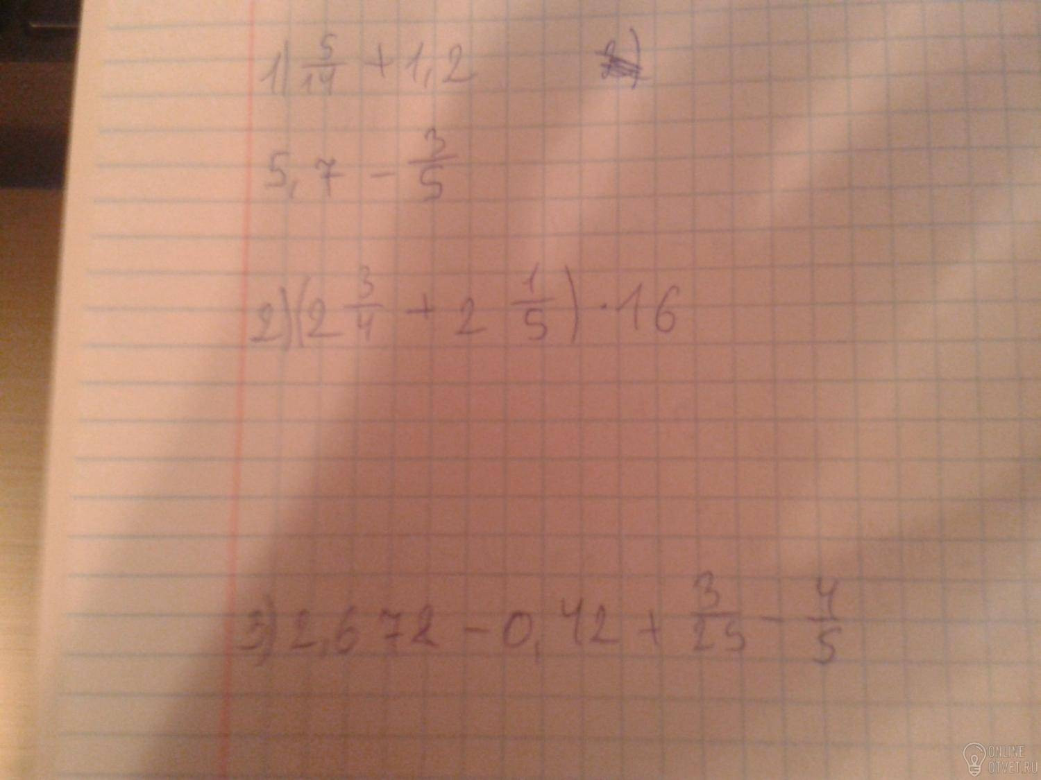
1) 5/14 + 1,2 = 5/14 + 12/10 = 5/14 + 6/5 = (25 + 84) / 70 = 109 /70 = (1)39/7
5,7 - 3/5 = 5,7 - 0,6 = 5,1
2) (2)3/4 + (2)1/5= 4 + (3/4 + 1/5) = 4 + (15/20 + 4/20) = 4 + 19/20 = (4)19/20 =
= 4,95
4,95 * 16 = 79,2
3) 2,672 - 0,42 + 3/25 - 4/5 = 2,252 + 3/25 - 20/25 = 2,252 - 17/25 =
= 2,252 - 0,68 = 1,572
5,7 - 3/5 = 5,7 - 0,6 = 5,1
2) (2)3/4 + (2)1/5= 4 + (3/4 + 1/5) = 4 + (15/20 + 4/20) = 4 + 19/20 = (4)19/20 =
= 4,95
4,95 * 16 = 79,2
3) 2,672 - 0,42 + 3/25 - 4/5 = 2,252 + 3/25 - 20/25 = 2,252 - 17/25 =
= 2,252 - 0,68 = 1,572
Пожаловаться
- 27.08.2016 11:38
- thumb_up 40
Знаете ответ? Поделитесь им!
Есть сомнения?
Не нашли подходящего ответа на вопрос или ответ отсутствует? Воспользуйтесь поиском по сайту, чтобы найти все ответы на похожие вопросы в разделе Геометрия.
Трудности с домашними заданиями? Не стесняйтесь попросить о помощи - смело задавайте вопросы!
Геометрия — раздел математики, изучающий пространственные структуры и отношения, а также их обобщения.
Новые вопросы
Интересные вопросы