Вопрос по геометрии:
1) Задача
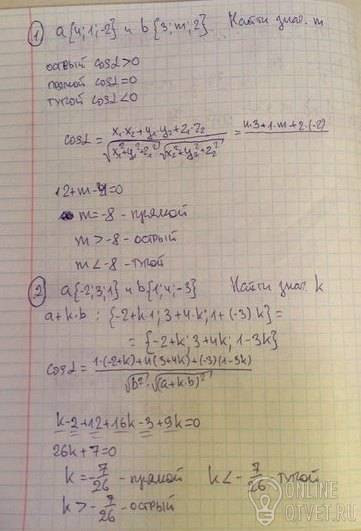
Даны векторы а{4;1;-2} и b{3;m;2}. Определить значение m, при которых угол между а и b является: а)Острым б)прямым в)Тупым .
2) Задача
Даны векторы а {-2;3;1} и b {1;4;-3}. Определить При каких значениях k, угол между векторами a+k*b и b будет: а)острый б) Прямой в) Тупой.
3) Задача
Вершины треугольника ABC имеют координаты A(m;-3;2) B(9;-1;3) C(12;-5;-1). Определить значения m, при которых угол C – Тупой.
- 17.10.2017 03:54
- Геометрия
- remove_red_eye 9679
- thumb_up 5
Ответы и объяснения 1
Знаете ответ? Поделитесь им!
Есть сомнения?
Не нашли подходящего ответа на вопрос или ответ отсутствует? Воспользуйтесь поиском по сайту, чтобы найти все ответы на похожие вопросы в разделе Геометрия.
Трудности с домашними заданиями? Не стесняйтесь попросить о помощи - смело задавайте вопросы!
Геометрия — раздел математики, изучающий пространственные структуры и отношения, а также их обобщения.