- 17.11.2016 18:20
- Геометрия
- remove_red_eye 12475
- thumb_up 16
Ответы и объяснения 1
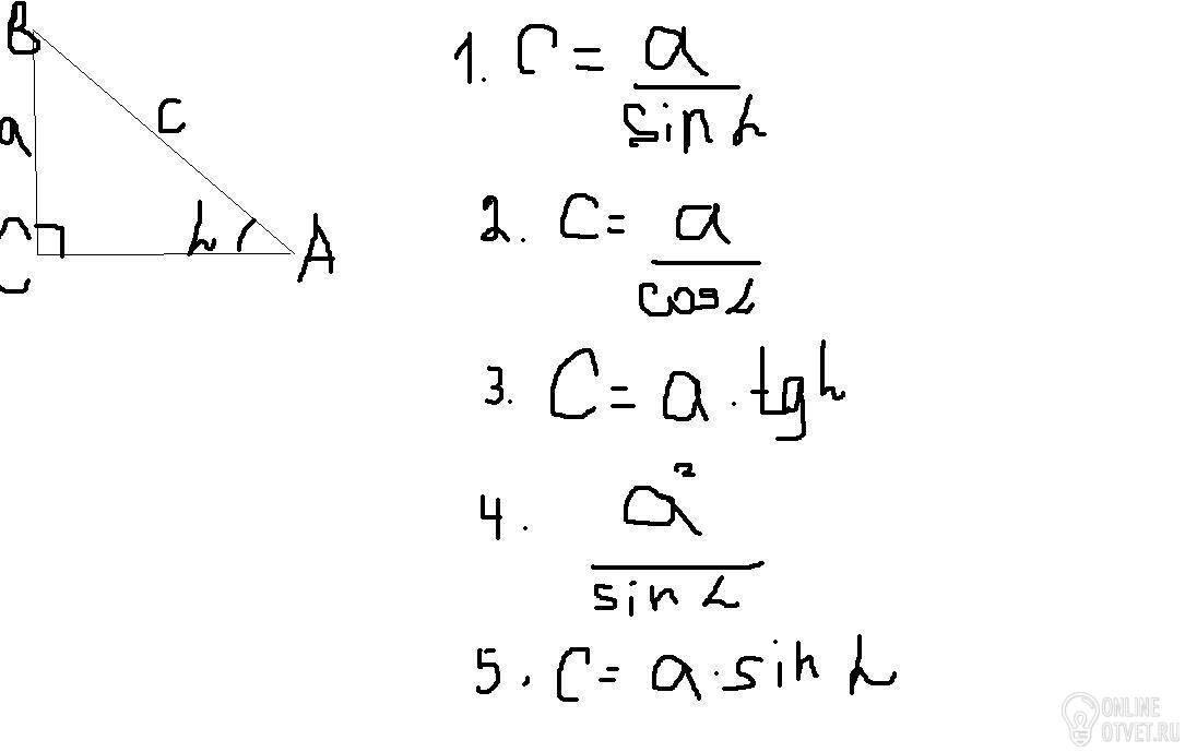
1) правильный ответ: 5)
следует из основного тригонометрического тождества:
2) Правильный ответ 1)
Следует из соотношения:
"В прямоугольном треугольнике синусом острого угла является отношение
противолежащего катета к гипотенузе":
- 18.11.2016 09:52
- thumb_up 5
Знаете ответ? Поделитесь им!
Есть сомнения?
Не нашли подходящего ответа на вопрос или ответ отсутствует? Воспользуйтесь поиском по сайту, чтобы найти все ответы на похожие вопросы в разделе Геометрия.
Трудности с домашними заданиями? Не стесняйтесь попросить о помощи - смело задавайте вопросы!
Геометрия — раздел математики, изучающий пространственные структуры и отношения, а также их обобщения.